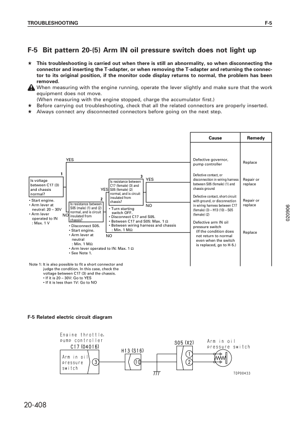
Komatsu PC750SE-6K Excavator Workshop Manual SN K30055 10194 and UP
16 $
Manual Type: Shop Manual
Brand: Komatsu
Number Pages: 685
Document size: 21.09 MB
Format: PDF
Language(s): English
16 $
Manual Type: Shop Manual
Brand: Komatsu
Number Pages: 685
Document size: 21.09 MB
Format: PDF
Language(s): English






















Reviews
There are no reviews yet.